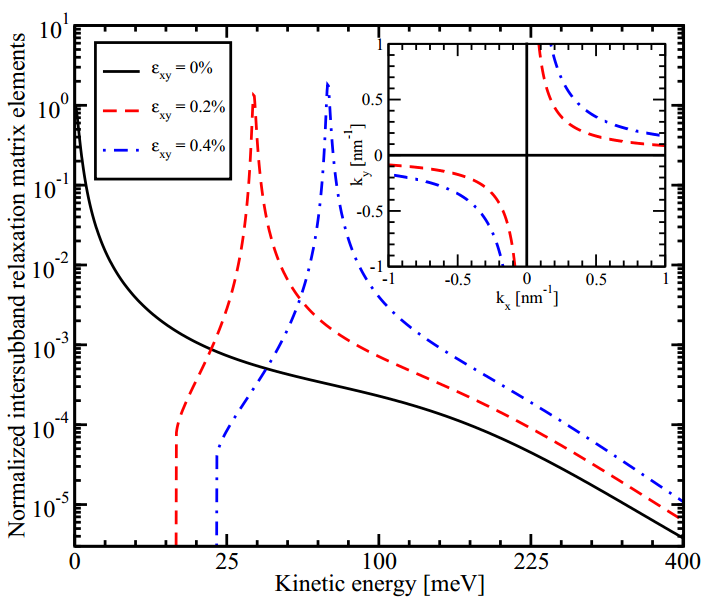
The simulator is aimed to calculate surface roughness matrix elements for thin silicon films as well as spin relaxation by taking into account surface roughness and electron-phonon interaction.

Project Samples

Project Activity

See All Activity >

License

MIT License

Follow ViennaSiSpin

ViennaSiSpin Web Site

Other Useful Business Software
$300 in Free Credit Towards Top Cloud Services Icon
$300 in Free Credit Towards Top Cloud Services

Build VMs, containers, AI, databases, storage—all in one place.

Start your project in minutes. After credits run out, 20+ products include free monthly usage. Only pay when you're ready to scale.
Get Started
Rate This Project
Login To Rate This Project

User Reviews

Be the first to post a review of ViennaSiSpin!

Additional Project Details

Registered

2016-04-20