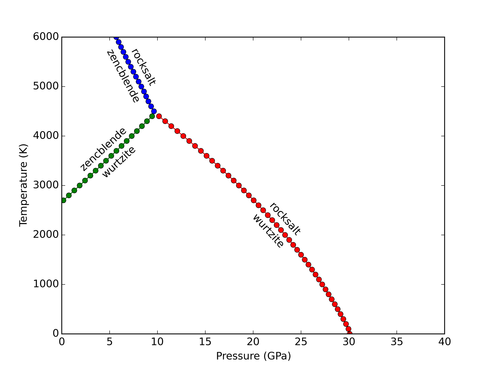
Phasego is designed for the easy implementation of phase transition analysis and plot of phase diagrams. It can also calculate the thermodynamic properties of materials, including the thermal expansion coefficients, the bulk moduli, the heat capacities, the thermal pressures, the Gruneisen parameters, and the Debye temperatures. For the dynamic response properties of materials, Phasego can automatically find the Hugoniot pressure-volume and pressure-temperature relations according to the Rankine-Hugoniot conditions. All these qualities can be obtained based on the quasi-harmonic approximation (QHA) and/or full anharmonic free energy corrections (AFEC) from the high-temperature phonon density of states (DOS). More interestingly, with full anharmonic effects the possible phase boundaries of all the structures provided are analyzed and plotted automatically. So the high pressure and temperature phase diagram can be constructed and plotted easily by Phasego.

Features

  • Automatic calculation of phase diagram based on QHA
  • Automatic plot of phase diagram
  • Calculation of thermodynamic properties based on QHA
  • Taking into account the electronic thermal excitation free energy
  • Automatic anharmonic corrections
  • Automatic analysis of synthesis and decomposition conditions for compounds

Project Samples

Project Activity

See All Activity >

Follow PhaseGo

PhaseGo Web Site

Other Useful Business Software
Gemini 3 and 200+ AI Models on One Platform Icon
Gemini 3 and 200+ AI Models on One Platform

Access Google's best plus Claude, Llama, and Gemma. Fine-tune and deploy from one console.

Build, govern, and optimize agents and models with Gemini Enterprise Agent Platform.
Start Free
Rate This Project
Login To Rate This Project

User Reviews

Be the first to post a review of PhaseGo!

Additional Project Details

Registered

2014-10-09