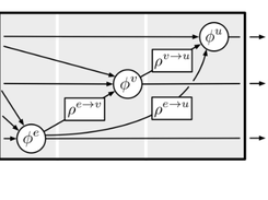
Graph Nets, developed by Google DeepMind, is a Python library designed for constructing and training graph neural networks (GNNs) using TensorFlow and Sonnet. It provides a high-level, flexible framework for building neural architectures that operate directly on graph-structured data. A graph network takes graphs as inputs, consisting of edges, nodes, and global attributes, and produces updated graphs with modified feature representations at each level. This library implements the foundational ideas from DeepMind’s paper “Relational Inductive Biases, Deep Learning, and Graph Networks”, offering tools to explore relational reasoning and message-passing neural networks. Graph Nets supports both TensorFlow 1 and TensorFlow 2, working with CPU and GPU environments, and includes educational Jupyter demos for shortest path finding, sorting, and physical prediction tasks. The codebase emphasizes modularity, allowing users to easily define their own edge, node, and global update functions.

Features

  • Framework for building graph neural networks using TensorFlow and Sonnet
  • Supports graph-level, node-level, and edge-level feature learning
  • Compatible with TensorFlow 1.x and 2.x, on both CPU and GPU setups
  • Includes Colab and Jupyter demo notebooks for hands-on learning and experimentation
  • Enables modular architecture design with customizable graph update functions
  • Suitable for a range of tasks including physical simulation, sorting, and pathfinding

Project Samples

Project Activity

See All Activity >

Categories

Libraries

License

Apache License V2.0

Follow Graph Nets library

Graph Nets library Web Site

Other Useful Business Software
AI-generated apps that pass security review Icon
AI-generated apps that pass security review

Stop waiting on engineering. Build production-ready internal tools with AI—on your company data, in your cloud.

Retool lets you generate dashboards, admin panels, and workflows directly on your data. Type something like “Build me a revenue dashboard on my Stripe data” and get a working app with security, permissions, and compliance built in from day one. Whether on our cloud or self-hosted, create the internal software your team needs without compromising enterprise standards or control.
Try Retool free
Rate This Project
Login To Rate This Project

User Reviews

Be the first to post a review of Graph Nets library!

Additional Project Details

Operating Systems

Linux, Mac

Programming Language

Python

Related Categories

Python Libraries

Registered

2025-10-09